Lompat ke konten Lompat ke sidebar Lompat ke footer

Contoh Soal Hidrolisis Garam Dan Pembahasannya : Soal Menantang Bagian 9 Bukan Soal Un Kimia 2019 Urip Dot Info - Garam basa, 1 dan 3.

Contoh Soal Hidrolisis Garam Dan Pembahasannya : Soal Menantang Bagian 9 Bukan Soal Un Kimia 2019 Urip Dot Info - Garam basa, 1 dan 3.. Postingan ini membahas contoh soal hidrolisis garam dan pembahasannya. Contoh soal hidrolisis garam dan pembahasannya contoh soal terbaru. Pengertian gaya london dan gaya dipol. Untuk memahaminya perhatikan contoh berikut. Berikut informasi sepenuhnya tentang contoh soal hidrolisis garam dan pembahasannya.

Pokok bahasan hidrolisis larutan garam beserta pembahasannya. Macam macam hidrolisis garam berdsarkan sifat garam beserta contoh soal essay hidrolisis garam dan pembahasannya adalah sebagai berikut. Garam netral (ph = 7) garam netral (ph = 7): 20210226 2 3 dan 5 b. Folge deiner leidenschaft bei ebay!

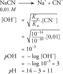
10 Soal Hidrolisis Garam Dan Pembahasannya Materi Kimia
10 Soal Hidrolisis Garam Dan Pembahasannya Materi Kimia from materikimia.com
Itulah 10 soal hidrolisis garam dan pembahasan yang dapat kami persembahkan. Garam netral (ph = 7) garam netral (ph = 7): Contoh soal hidrolisis garam dan pembahasannya contoh soal terbaru. Pengertian, macam, dan rumus, beserta contoh soalnya secara lengkap oleh bitar diposting pada 22 juli 2021 Rangkuman materi, contoh soal hidrolisis & pembahasan. 10 soal hidrolisis garam dan pembahasannya; Pembahasan soal kimia sbmptn 2018 nomo. Garam basa, 1 dan 3.

Terbentuk dari asam kuat dan basa kuat.

Soal mencari ph hidrolisis garam ini mengambil beberapa aspek yang diketahui. 20+ contoh soal dan pembahasanya by kkn tematik rempak 2019 12 mar, 2017 4 comments oke, kali ini mas dennis akan memberikan sebuah contoh soal mengenai materi hidrolisis garam yang mana materi tersebut rasanya lebih enak untuk kita bahas dalam bentuk contoh soal dibandingkan dengan sebuah artikel panjang yang mungkin adik. Jika kita melarutkan suatu garam kedalam air, ada dua kemungkinan yang terjadi yaitu: Soal dan jawaban hidrolisis garam. Pengertian, macam, dan rumus, beserta contoh soalnya secara lengkap oleh bitar diposting pada 22 juli 2021 Sebutkan 5 perbedaan reduksi dan oksidasi (redoks) apipah. Contoh soal hidrolisis garam dan pembahasannya contoh soal terbaru. Garam yang terbentuk dari komponen asam lemah dan basa lemah. Ch 3 coona terbentuk dari asam lemah dan basa kuat jadi terhidrolisis parsial. 12 april 2016 kelas : Tidak terhidrolisis, berikut adalah contoh garam netral (ph = 7): Lanjut lagi kita akan belajar bab hidrolisis. Contoh soal ksp hasil kali kelarutan dan jawaban beserta pembahasan ksp hasil kali kelarutan yaitu hasil kali konsentrasi ion ion perkalian from id.pinterest.com

Contoh soal hidrolisis garam dan pembahasannya contoh soal terbaru. Titrasi asam basa dan kurva titrasi; Soal hots kimia hidrolisis garam dengan 2 cara pengerjaan. Rangkuman materi, contoh soal hidrolisis & pembahasan. Jika kita melarutkan suatu garam kedalam air, ada dua kemungkinan yang terjadi yaitu:

Hidrolisis Garam Pengertian Macam Macam Rumus Dan Contoh Soal
Hidrolisis Garam Pengertian Macam Macam Rumus Dan Contoh Soal from rumus.co.id
Berikut contoh soal ulangan harian pelajaran kimia kelas xi ipa. Contoh soal dan pembahasan hidrolisis. Suatu larutan dibuat dengan mencampurkan 90 ml larutan dietilamina 0,01 m dan 10 ml larutan hcl 0,09 m. Soal mencari ph hidrolisis garam ini mengambil beberapa aspek yang diketahui. Hidrolisis berasal dari kata hidro yang berarti air dan lisis yang berarti pengurain. Assalaamualaikum semoga selalu berada dalam lindungan allah di bawah ini ada contoh soal jawaban ulangan kimia kelas xi semester 2 ukk. 40 soal hidrolisis garam pilihan ganda dan jawaban pembahasan. Contoh soal pg hidrolisis garam beserta pembahasannya.

1 persamaan reaksi hidrolisis garam nh 4 cl.

Silakan jika ada pertanyaan bisa ditanyakan langsung melalui kolom komentar. 20+ contoh soal dan pembahasanya by kkn tematik rempak 2019 12 mar, 2017 4 comments oke, kali ini mas dennis akan memberikan sebuah contoh soal mengenai materi hidrolisis garam yang mana materi tersebut rasanya lebih enak untuk kita bahas dalam bentuk contoh soal dibandingkan dengan sebuah artikel panjang yang mungkin adik. Berapakah ph larutan amonium klorida (nh 4 cl) 0,05 m jika diketahui k a = 5.65 x 10¯ 10. Assalaamualaikum semoga selalu berada dalam lindungan allah di bawah ini ada contoh soal jawaban ulangan kimia kelas xi semester 2 ukk. Silakan jika ada pertanyaan, bisa ditanyakan langsung melalui kolom komentar. Download kumpulan soal hidrolisis garam dan penyangga serta pembahasan. Hidrolisis parsial terjadi pada garam yang terbentuk dari asam kuat dan basa lemah atau terbentuk dari basa kuat dan asam lemah. Garam yang terbentuk dari komponen asam lemah dan basa lemah. Contoh soal alkena contoh soal alkuna contoh soal struktur alkana contoh soal tentang hidrokarbon pembahasan soal kimia soal essay gugus fungsi soal materi hidrokarbon struktur senyawa alkana. Garam basa, 1 dan 3. Sebutkan 5 perbedaan reduksi dan oksidasi (redoks) apipah. Soal dan jawaban hidrolisis garam. Contoh soal ksp hasil kali kelarutan dan jawaban beserta pembahasan ksp hasil kali kelarutan yaitu hasil kali konsentrasi ion ion perkalian from id.pinterest.com

Soal kimia tentang hidrolisis garam dan pembahasannya reaven 5:31 am. 10 soal hidrolisis garam dan pembahasannya; Folge deiner leidenschaft bei ebay! Jadi kita bantu buatkan rangkuman materi dan contoh soal hidrolisis buat kamu kelas 11. 20210226 2 3 dan 5 b.

Hidrolisis Garam Pengertian Macam Rumus Dan Contoh Soal
Hidrolisis Garam Pengertian Macam Rumus Dan Contoh Soal from www.gurupendidikan.co.id
Sebutkan 5 perbedaan reduksi dan oksidasi (redoks) apipah. Contoh menghitung ph larutan garam yang terdiri dari asam kuat dan basa lemah. 4 jika diketahui larutan ch 3 coona 0,1 m dan k a ch 3 cooh = 10 −5. Soal mencari ph hidrolisis garam ini mengambil beberapa aspek yang diketahui. Garam yang terbentuk dari komponen asam lemah dan basa kuat. Dari beberapa larutan berikut ini yang tidak mengalami hidrolisis adalah. Nh 4 cl termasuk jenis garam yang mengalami hidrolisis sebagian/parsial, karena tersusun. Berikut informasi sepenuhnya tentang contoh soal hidrolisis garam dan pembahasannya.

Itulah, 10 soal hidrolisis garam dan pembahasan yang dapat kami persembahkan.

Rangkuman materi contoh soal hidrolisis pembahasan kelas 11. Folge deiner leidenschaft bei ebay! Contoh soal hidrolisis dan pembahasan. Ch 3 coonh 4 termasuk jenis garam yang mengalami hidrolisis total/sempurna, karena tersusun dari asam lemah dan basa lemah. Untuk memahaminya perhatikan contoh berikut. Contoh soal dan pembahasan hidrolisis garam chemistry is fun. 20+ contoh soal dan pembahasanya by kkn tematik rempak 2019 12 mar, 2017 4 comments oke, kali ini mas dennis akan memberikan sebuah contoh soal mengenai materi hidrolisis garam yang mana materi tersebut rasanya lebih enak untuk kita bahas dalam bentuk contoh soal dibandingkan dengan sebuah artikel panjang yang mungkin adik. Jadi soal ini adalah hidrolisis garam dari. Pengertian, macam, dan rumus, beserta contoh soalnya secara lengkap oleh bitar diposting pada 22 juli 2021 2014 skl kimia dan contoh soal serta pembahasannya soal dan pembahasan hidrolisis garam usaha321net. Macam macam hidrolisis garam berdsarkan sifat garam beserta contoh soal essay hidrolisis garam dan pembahasannya adalah sebagai berikut. Soal pilihan ganda hidrolisis garam dan pembahasannya hidrolisis garam : Nah kali ini saya akan bagikan soal sekaligus pembahasannya tentang pokok bahasan kimia kelas 12 sma tentang semyawa turunan alkana.

Posting Komentar untuk "Contoh Soal Hidrolisis Garam Dan Pembahasannya : Soal Menantang Bagian 9 Bukan Soal Un Kimia 2019 Urip Dot Info - Garam basa, 1 dan 3."